中文版
|
ENGLISH
中国建筑铝型材二十强企业 股票代码:002082
栋梁首页
走进栋梁
公司简介
企业文化
资质荣誉
公司架构
厂房厂貌
合作伙伴
新闻中心
公司报道
业界资讯
废铝回收
产品展厅
铝型材
铝板材
铝模板
铝单板
全铝家居
工程实例
技术中心
研发实力
生产流程
模具开发
设备保障
质量保证
销售网络
国内网络
国际网络
客户服务
在线下单
联系方式
在线留言
人力资源
人才理念
员工天地
招聘信息
采购招标
采购招标
采购招标
/ PROCUREMENT BIDDING
您现在的位置:
网站首页
-
采购招标
-
采购招标
采购招标
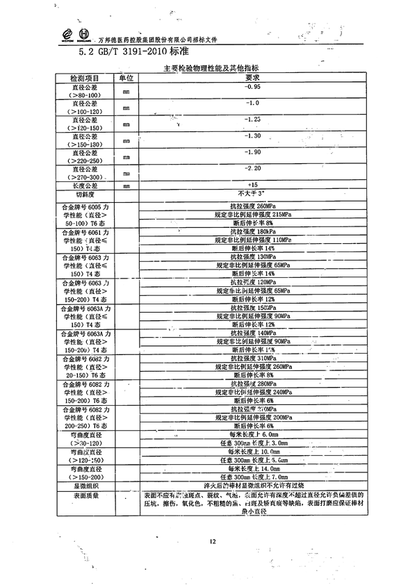
万邦德•栋梁铝业铝锭铝棒招标文件
日期:2020-07-24 访问次数:12186
走进栋梁
| 新闻中心
| 产品展厅
| 技术中心
| 销售网络
| 人力资源
| 采购招标
Copyright©2015栋梁铝业有限公司.All Rights Reserved
地址:浙江省湖州市织里镇栋梁路1688号 电话:0572-2680888 传真:0572-2652003
浙ICP备2023043136号-1